
Pembahasan soal Matematika Tes Kemampuan Dasar Sains dan Teknologi (TKD Saintek) Seleksi Bersama Masuk Perguruan Tinggi Negeri (SBMPTN) tahun 2017 Kode Naskah 157 nomor 6 sampai dengan nomor 10 tentang:
- irisan kerucut,
- suku banyak,
- geometri,
- integral, dan
- limit fungsi trigonometri.
Soal No. 6 tentang Irisan Kerucut
Lingkaran x2 + y2 − 4x + 2y = 4 menyinggung hiperbola
Jika asimtot hiperbola tersebut mempunyai gradien 2 maka nila b2 − a2 = ….
A. 3
B. 6
C. 9
D. 12
E. 27

Jika asimtot hiperbola tersebut mempunyai gradien 2 maka nila b2 − a2 = ….
A. 3
B. 6
C. 9
D. 12
E. 27
Pembahasan
Kita perhatikan persamaan lingkaran dan bentuk umumnya terlebih dahulu.x2 + y2 − 4x + 2y − 4 = 0
x2 + y2 + Ax + By + C = 0
Dengan membandingkan bentuk umumnya, diperoleh:
A = −4
B = 2
C = −4
Pusat dan jari-jari lingkaran tersebut adalah:
pusat = (−½ A, −½ B)
= (2, −1)
Jari-jari = √[¼ (A2 + B2) − C]
= √(¼ [(−4)2 + 22] − (−4))
= √9
= 3
Sekarang kita perhatikan persamaan hiperbola dan bentuk bakunya.

Berdasarkan persamaan baku tersebut, diperoleh:
Pusat = (h, k)
= (2, −1)
Ternyata lingkaran dan hiperbola mempunyai titik pusat yang sama, yaitu (2, −1). Keadaan ini dapat digambarkan sebagai berikut:

Karena hiperbola menyinggung lingkaran maka puncak hiperbola tersebut adalah (−1, −1) dan (5, −1) (lihat gambar).
Mari kita substitusikan salah satu puncak tersebut ke persamaan hiperbola, ambil saja puncak (−1, −1).

Diketahui bahwa gradien asimtot hiperbola adalah 2, sehingga:
b/a = 2
b2/a2 = 4
b2/9 = 4
b2 = 36
Dengan demikian,
b2 − a2 = 36 − 9
= 27
Jadi, nila dari b2 − a2 adalah 27 (E).
Soal No. 7 tentang Suku Banyak
Jika p(x) = (x − 1)q(x) + 1 dan q(3) = 5 maka sisa pembagian p(x) oleh (x − 1)(x − 3) adalah ….
A. 2x − 1
B. 3x − 2
C. 5x − 4
D. −3x + 4
E. −5x + 6
A. 2x − 1
B. 3x − 2
C. 5x − 4
D. −3x + 4
E. −5x + 6

Pembahasan
Untuk menyelesaikan soal di atas, kita pahami kembali teorema sisa berikut ini:Jika f(x) dibagi x − a maka sisanya adalah f(a)Karena yang ditanyakan sisa pembagian p(x) oleh (x − 1)(x − 3) maka kita tentukan dulu sisa pembagian oleh (x − 1) dan (x − 3), yaitu p(1) dan p(3).
p(x) = (x − 1)q(x) + 1
p(1) = (1 − 1)q(1) + 1
= 0 + 1
= 1
p(3) = (3 − 1)q(3) + 1
= 2×5 + 1 [ingat q(3) = 5]
= 11
Misalkan sisa pembagian p(x) oleh (x − 1)(x − 3) adalah p(x) = ax + b, maka:
p(1) = a + b = 1 … (1)
p(3) = 3a + b =11 … (2)
⎯⎯⎯⎯⎯⎯⎯⎯⎯⎯ − [bawah dikurangi atas]
2a = 10
a = 5
Substitusi a = 5 ke persamaan (1).
5 + b = 1
b = 4
Dengan demikian sisa pembagian tersebut adalah:
ax + b = 5x − 4
Jadi, sisa pembagian p(x) oleh (x − 1)(x − 3) adalah 5x − 4 (C).
Soal No. 8 tentang Geometri
Diketahui suatu lingkaran kecil dengan radius 3√2 melalui pusat suatu lingkaran besar yang mempunyai radius 6. Ruas garis yang menghubungkan dua titik potong lingkaran merupakan diameter lingkaran kecil, lihat gambar.
Luas daerah irisan kedua lingkaran adalah ….
A. 18π + 18
B. 18π − 18
C. 14π + 14
D. 14π − 15
E. 10π + 10

Luas daerah irisan kedua lingkaran adalah ….
A. 18π + 18
B. 18π − 18
C. 14π + 14
D. 14π − 15
E. 10π + 10
Pembahasan
Perhatikan daerah irisan kedua lingkaran tersebut!
Daerah irisan kedua lingkaran tersebut terdiri dari dua daerah, yaitu daerah I dan II.
Daerah I merupakan luas setengah lingkaran kecil yang berjari-jari rI = 3√2.
LI = ½ × πrI2
= ½ × π × (3√2)2
= 9π
Sedangkan daerah II merupakan tembereng dari lingkaran besar.

Tali busur AB merupakan diameter lingkaran kecil sehingga ∠AOB = 90°.
Luas daerah II merupakan pengurangan dari luas juring AOB dengan luas segitiga AOB.
LII = Lj.AOB − L.∆AOB
= (90°/360°) × πrII2 − 1/2 × rII2
= 1/4 × π × 62 − 1/2 × 62
= 9π − 18
Dengan demikian, luas daerah irisan kedua lingkaran tersebut adalah:
L = LI + LII
= 9π + 9π − 18
= 18π − 18
Jadi, luas daerah irisan kedua lingkaran adalah 18π − 18 (B).
Soal No. 9 tentang Integral
Jika
dengan f(x) fungsi genap dan
maka
A. 0
B. 1
C. 2
D. 3
E. 4

dengan f(x) fungsi genap dan

maka

A. 0
B. 1
C. 2
D. 3
E. 4
Pembahasan
Mari kita pahami terlebih dahulu perbedaan antara fungsi genap dan fungsi ganjil!Fungsi Genap
Jika f(x) fungsi genap maka berlaku:
- f(−a) = f(a)
- grafik f(x) dalam interval −a ≤ x ≤ a berbentuk simetris
Fungsi Ganjil
Jika f(x) fungsi ganjil maka berlaku:
- f(−a) = −f(a)
- grafik f(x) dalam interval -a ≤ x ≤ a berlawanan tanda
Nah, mari kita selesaikan soal di atas!

f(x) adalah fungsi genap dan sin x adalah fungsi ganjil sehingga f(x) sin x adalah fungsi ganjil.
Dengan demikian diperoleh:
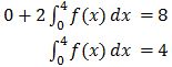
Selanjutnya kita tuntaskan integral berikut ini.

Jadi, nilai dari integral fungsi f(x) dengan batas −2 sampai dengan 0 adalah 0 (A).
Soal No. 10 tentang Limit Fungsi Trigonometri

A. −2
B. −1
C. 0
D. 1
E. 2
Pembahasan
Langkah pertama kita ubah csc x menjadi 1/sin x.
Kemudian kita kalikan dengan bilangan sekawan dari 1 − √(cos x), yaitu 1 + √(cos x).

Analogi dari rumus cos 2x = 1 − 2 sin2 x, diperoleh cos x = 1 − 2 sin2 ½x sehingga 1 − cos x = 2 sin2 ½x.

Limit trigonometri mendekati nol berlaku sin x = x sehingga:
Nah, sekarang tinggal memasukkan x = 0.
= 1 + √(cos 0 )
= 1 + 1
= 2
Jadi, nilai limit fungsi trigonometri tersebut adalah 2 (E).
Simak Pembahasan Soal TKD Saintek SBMPTN 2017 selengkapnya.
Nantikan, Pembahasan Matematika No. 11 - 15 TKD Saintek SBMPTN 2017 Kode Naskah 157
Dapatkan pembahasan soal dalam file pdf di sini.
Demikian, berbagi pengetahuan bersama Kak Ajaz. Silakan bertanya di kolom komentar apabila ada pembahasan yang kurang jelas. Semoga berkah.


Halo kak, untuk nomor 8, bagaimana kita bisa tau, bahwa segitiganya sudah pasti siku siku? Makasi kak.
ReplyDeleteHako juga, Kimberly
DeletePadang lingkaran kecil di mana AB sebagai diameter.
Karena AB adalah diameter maka sudut pusatnya adalah 180°.
Konsep:
Sudut keliling = 1/2 kali sudut pusat
Karena ∠AOB adalah sudut keliling maka:
∠AOB = 1/2 x 180° = 90°
Konsep sederhana:
Sudut keliling yang melalui diameter = 90°
Ohh.. ok saya mengerti.. Makasih banyak kak.. :)
DeleteSama-sama
Delete